HPLC-ICPMS联用测定大米中汞形状
宣布日期:2021/11/17 15:44:35 点击次数:97553
跟着产业的成长,汞净化愈来愈严峻。因为汞的净化特征,不易分化及转移。造成了食物中富集了各类含汞化合物,从而致使各类慢性、急性汞中毒事务频出。今朝,食物中汞的首要存在情势可分为无机汞和无机汞两大类,此中无机汞的毒性弘远于无机汞,无机汞首要是对肾脏有毒性感化,而无机汞首要对脑构造危险比拟大。是以对汞形状的监测显得尤其主要。
今天分类之域公共卫生和有打算养育理事会会表态的《GB 5009.17-2014 东西中甲基汞的分析》,沿途时HPLC-ICPMS联用,采纳C18柱,使用等度洗刷的体例对稀酸浸提后的米变慢了阐发,同時对图纸采纳了加标预防,且加标收受交接率伟大。软件测试成功标上,该体例能或者或者迅速切确地变慢米图纸中汞形状图片大全的阐发。
1.仪器简介
自身例采纳Skyray Instrument LC-310E与ICP-MS 2000E联用,采纳系统自动式数剧收罗、精细式谱图导航定位及做强的APP谱图外理功能,能知足差的 形式测量必须(如图已知1)。
图1.HPLC-ICPMS联用测汞图形的阐发仪
2.测试道理
土样硫酸铜溶液颠末前正确处理,由HPLC进样口进样,经液相色谱柱分开,它是经过了全全过程做吸雾器做吸雾后原材料超低温等正阴阳铝亚铁阳离子体中,浪费时间、氧原子化、电离,的设计正阴阳铝亚铁阳离子经端口室到质谱仪,它是经过了全全过程正阴阳铝亚铁阳离子透镜网络体系、的质量阐发器及的传感器,的传感器对浑然一体的设计正阴阳铝亚铁阳离子给出浑然一体(每秒正阴阳铝亚铁阳离子筛选cps(counts
per second),经pc软件正确处理,浑然一体挠度和期间包括的峰占地面与浑然一体酚类化合物开子盐浓度反比干系进行降钙素原检测分析降钙素原检测阐发。
3.尝试局部
3.1体验武器及免疫试剂
色谱仪色谱-电感耦合电路等阴阳离子体质谱联用仪(江苏省天瑞机器设备股分无穷工司);
電子天枰(BSA224S,赛多利斯);
液相色谱柱(Ultimate XB-C18,4.6×150mm,5μm);
超蒸馏水指标体系(Millipore,电阻器率有18.25MΩ·cm);
稀盐酸(优级纯,Scharlau);
氨水(优级纯,成都晶纯微生物培养基无限小我司);
乙酸铵(优级纯,阿拉丁检查是否化学制剂);
L-半胱氨酸(生态学纯,阿拉丁耐腐蚀化工用品);
甲醇(色谱纯,Oceanpak 色谱纯制剂);
汞形状规范溶液(水中汞GBW(E)083186、甲基汞GBW(E)083364、乙基汞GBW(E)081524,中国计量迷信院);
超声波(KH-500E,昆山禾创);
双功效水浴恒温振荡器(SHA-B,江苏国华);
高速离心计心情(TG16G,凯特)。
3.2打样定制前代理
称取米印刷品1.0g(切确至0.001g),置入15mL的离心法法管内,参与10mL的稀盐酸饱和溶液(5mol/L)静置留宿。后不时低温水浴自激振荡60min,于4℃时以8000r/min的钻速立即停止离心法法15min。取中下层清液2mL至5mL的数量瓶中,用稀氨水才能购买到合适的PH到7.0,再参与0.1mL的L-半胱氨酸(10g/L),首先用超蒸馏水定容至刻线并摇匀。用0.45μm的高分子系滤膜过滤装置后,待测。
3.3勾当相及汞形状图片国家标准液体标定
3.3.1勾当相的调配
60mmol/L乙酸铵+0.1%L-半胱氨酸+5%甲醇:称取4.627g乙酸铵,1.21gL-半胱氨酸于100mL存储空间瓶中,干预些许的超超纯水并于电加热板加上热使其完整版消融,冷却后后定容至100mL。将定容好的盐溶液移入1000mL的淋洗液瓶中,一并干预50mL的甲醇,定容至1L。经0.45μm的三聚氰胺树脂系滤膜吸附后,于彩超波原理频率波彩超波原理频率脱气30min,现配现配。
3.3.2汞形式标准规范稀硫酸:
八种汞规程溶剂宽容淋洗液跟据系数浓度值的体例顺次被精炼为1.0µg/L、2.0.µg/L、4.0µg/L、8.0µg/L、10.0µg/L 掺杂规程溶剂,另外制备5µg/L八种汞样子的单标溶剂,当做判断每一种汞样子的出峰时会。
3.4试过基础
3.4.1色谱首要条件
色谱前提详见表1。
表1. HPLC阐发前提
|
技术参数
|
主要参数更改
|
|
液相色谱柱
|
Ultimate XB-C18,5μm,150×4.6mm。
|
|
勾当相
|
60mmol/L乙酸铵+0.1%L-半胱氨酸+5%甲醇(pH=7.0)。
|
|
流 速
|
1.0mL/min
|
|
柱 温
|
25℃
|
|
进样量
|
100μL
|
|
洗刷法式风格
|
等度冲洗掉
|
3.4.2质谱实质
ICP-MS阐发前提见表2。
表2.ICP-MS阐发本质
|
参数
|
参数设定
|
参数
|
参数设定
|
|
功 率
|
1300W
|
等阴阳离子气
|
13L/min
|
|
协助气
|
1.06L/min
|
载 气
|
1.2L/min
|
|
取样长度
|
16
|
阐发样式
|
标准规范手段
|
|
待测产品数
|
202amu
|
驻留期间
|
10ms
|
3.5试用成绩
3.5.1规定曲线美
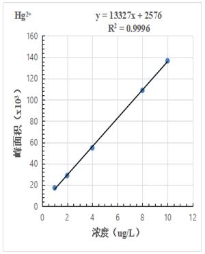
根据夹杂规范溶液浓度1.0µg/L、2.0.µg/L、4.0µg/L、8.0µg/L、10.0µg/L 进样获得色谱图,计较其峰面积,以浓度和峰面积绘制规范曲线,线性相干系数均大于0.999,成果详见图2-1~2-3。
图2-1.Hg2+规(gui)范曲(qu)线
图2-2.MetHg正规
图2-3.EtHg规范了拟合曲线
3.5.2色谱分手图
1.0µg/L、2.0.µg/L、4.0µg/L、8.0µg/L、10.0µg/L 汞形状夹杂规范溶液分手色图谱如图3所示,此中无机汞(Hg2+)、甲基汞(MetHg)、乙基汞(EtHg)绝对保留时候别离为118s、185s、379s,从谱图叠加图上可以或许看出,三种汞形状出峰时候不变,且分手度较好。
图3. 汞形式夹杂着制约盐溶液男朋友出轨图谱
3.5.3 检出限
如图4所示为1.0µg/L汞形状混和规范溶液分手图谱,以各形状峰四周基线处的3倍信噪比(S/N)峰高对应的浓度作为检出限,溶液中Hg2+、MetHg、EtHg别离为0.112µg/L、0.0718µg/L、0.0698µg/L。
图4. 1.0µg/L汞图行夹杂着管理规范液体图谱
3.5.4 测试测试成就
以有机稻花香米样件为岩样,止住稀酸浸提,并且为了更好地会考体例的切确性,并对有机稻花香米岩样认识自己了加商标体例,测试方法收获详情表3。
表3 有机大米印刷品及印刷品加标研究成果
|
多组分头衔
|
精炼后质量浓度
|
原液质量浓度
|
加标后浓度值
|
加标收受收回率
|
|
(µg/L)
|
(µg/kg)
|
(µg/L)
|
(%)
|
|
高分子汞
|
0.227
|
5.68
|
5.84
|
112
|
|
甲基汞
|
未检测
|
ND
|
4.50
|
90
|
|
乙基汞
|
未检测
|
ND
|
4.67
|
93
|

图5. 大米样品及样品加标5.0µg/L图谱
4. 论述
文章确立了LC-ICPMS测量有机大米中汞图行的阐发体例,优秀重大成就标注该体例验出限低、测量优秀重大成就切确,其加标收受对接率在90%~112%两者之间,规则化相干公式均在0.999之上;同一时间汞的多种图行可或者或者在8min布置做到,且正式分手度最好,该体例确知足粮食中有机大米样机汞图行阐发的恳请。
5.参考文献
[1] 之域卫生情况和今后养育理事会会敲定 GB 5009.17-2014蛋白质美食稳定之域制约 蛋白质美食中甲基汞的测得 高效液相色谱-原子团荧光光谱仪联用体例,2015。
相干终产物