1.弁言
2015年12月14日,环保部宣布了《HJ 780-2015 泥(ni)(ni)土(tu)(tu)和堆(dui)积物无机元(yuan)素的(de)(de)(de)测定——波(bo)长(zhang)色散X射(she)线荧光光谱法》(以下简称“HJ 780-2015”),正式成立了泥(ni)(ni)土(tu)(tu)中无机元(yuan)素的(de)(de)(de)检测体(ti)例。2016年中,国(guo)务院正式向社会公(gong)然(ran)《泥(ni)(ni)土(tu)(tu)净化(hua)防治步(bu)履(lv)打算》(“土(tu)(tu)十条”)全(quan)文,周(zhou)全(quan)增(zeng)强泥(ni)(ni)土(tu)(tu)净化(hua)的(de)(de)(de)管(guan)理。为共同国(guo)度展开泥(ni)(ni)土(tu)(tu)查验和管(guan)理任务,江苏天瑞(rui)(rui)仪器股(gu)分无限公(gong)司(si)(以下简称“天瑞(rui)(rui)仪器”)推出的(de)(de)(de)WDX4000型波(bo)长(zhang)色散X射(she)线荧光光谱仪及其相干利用体(ti)例,可用于测定泥(ni📖)(ni)土(tu)(tu)和堆(dui)积物中25种无机元(yuan)素和7种氧化(hua)物,完整知足HJ 780-2015规范(fan)的(de)(de)(de)利用请求(qiu)。
2.设备简洁
WDX4000挨(ai)次式波(bo)长色散X射线荧光(guang)(guang)光(guang)(guang)谱仪是天瑞仪器(qi)承当的国(guo)度严重迷信仪器(qi)专项(xiang)名目的研(yan)讨(tao)功(gong)效,具备完整的自立常(chang)识产(chan)权。WDX🌳4000接纳了大批立异性和通用化的设想,配有40位主(zhu)动进样(yang)器(qi),机能优良,操(cao)纵简洁。
1)测角仪:紧密双轴,可出具计量局部校(xiao)准证书。
2)高压(ya):大功率≥4kW,切换敏捷,机能不变,毛病(bing)率极低。
3)光(guang)(guang)(guang)管(guan)(guan):下照(zhao)式,4kW,Rh靶,配套双(shuang)通道光(guang)(guang)(guang)管(guan)(guan)水冷体系(xi),极大耽误光(guang)(guang)🃏(guang)管(guan)(guan)利用寿(shou)命;
3)滤(l𒊎v)光片(pian):5组,优化设置装(zhuang)备摆(bai)设Cu、Al滤(lv)光片(pian)和防尘(chen)滤(lv)光片(pian);
4)准直(zhi)器:3个,知足客(ke)户在丈量微量元素(sꩲu)时,对分辩率和(he)强度的偏重挑选(xuan);
5)晶体:标配(🌠pei)5块晶体,可(ke)以或许实(shi)现(xian)C6—U92之间元素定性(xiꦦng)、定量的阐发,还有选3个空位可(ke)供定制(zhi);
6)探(tan)测器ജ(qi):闪(shan)灼探(tan)测器(qi),大线(xian)性计数率3000kcps,流气(qi)探(tan)测器(qi),大线(xian)性计数率1500kcps,具备芯线(xian)主动洗濯功效(xiao);
7)主动进样器(qi):40位(wei)全(quan)主动机器(qi)手进样器(qi);
8)新版操纵软件,具备现实 a 系数校订、经历α、β、γ系数校订、FP参数校订、谱线堆叠校订、仪器状态监控和壮大的Sqlite公用数据库等功效;
9)独占真氛围路缓冲(chong)体系,有用(yong)掩护薄膜(mo)型样品,在大气颗粒物检(ꦆjian)测(ce)范畴利用(yong)普遍。
图 1 WDX4000仪(yi)器外表图(tu)
3.试穿布局
3.1 试用启发
大(da)功率高压光管发(fa)射(she)(she)(she)出(chu)的(de)(de)原级X射(she)(she)(she)线(xian)(xian),颠(dian)末(mo)滤光片后,照耀到(dao)样(yang)品外表,激起(qi)出(chu)样(yang)品中各元素的(de)(de)特(te)点X射(she)(she)(she)线(xian)(xian)。特(te)点X射(she)(she)(she)线(xian)(xian)颠(dian)末(mo)一次准直器准直后平行入射(she)(she)(she)到(🌠dao)分光晶体上;再由测角仪扫描出(🧔chu)合适布拉格衍(yan)射(she)(she)(she)前提的(de)(de)特(te)点X射(she)(she)(she)线(xian)(xian)。X射(she)(she)(she)线(xian)(xian)颠(dian)末(mo)二次准直器后,进入探测器停止旌(jing)旗灯号收罗(luo)。经由进程计较(jiao)机软(ruan)件处置(zhi)后实现定性阐发(fa)和定量(liang)阐发(fa)。
3.2 转备和制剂
🌜
装备:WDX4000:波(bo)长色散型X射线荧光(guang)(guang)光(guang)(guang)谱(pu)仪;
阐发天平:精度0.1mg;
主动粉末压片机:压力30吨,保压时候30s;
非金属筛:孔径0.075mm,200目。
试剂:硼酸(H3BO3):阐发纯。
泥土(tu)标样:市售(shou)有证标样GSS1——GSS27;
3.3 供试品前正确处理
泥土样品的收罗和保管按照HJ/T 166履行,堆积物样品的收罗和保管按照GB17378.3和GB17378.5履行。样品的风干或烘干按照HJ/5 166及GB17378.5相干划定停止操纵。样品烘干后,对样品停止研磨,后过200目非金属筛,于105℃烘干备用。
称量5.0g样品于压片机模具中,以硼酸镶边、垫底,在压片机上以30吨压力,保压30秒的前提压抑成≥7mm的薄片。制成如图 2、图 3的薄片。样品外表要光滑,不能有粉末零落。
图2 压片样品正面图
图3 压片样品正面图
3.4 的任务弧线的建成和样板测量
在配套软件中新建泥土任务区,设置HJ780-2015中25种无机元素和7种氧化物,软件主动天生每一个元素响应的测试参数,而后对每一个元素的现实角度和PHA参数停止零丁设定。仪器参数设定实现后,对有证标样一一测试,获得每一个元素的净强度,便可成立含量与强度的任务曲线。泥土成份较为庞杂,在拟合曲线进程中,良多元素之间存在彼此搅扰,须要对其作基体、谱线堆叠等校订或接纳内标法等手腕从头拟合曲线,获得优良的线性干系曲线。而后对样品停止检出限、精确度和不变性等方面的测试。
4. 测评研究成果
4.1 检测出限
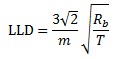
按照所优化的尝试前提,泥土样品中各阐发元素的检出限如 REF
_Ref511912484 \h 表 1,检出限的数学抒发式为:
式中:m为单元含量的计数率;Rb为背景计数率;T为峰值和背景的总丈量时候(s)。由表可见,不管是氧化物仍是含量极低无机元素,均知足HJ780-2015规范中对泥土检出限的划定。检出限规范见规范附录A。
表 1检出限测试成果
|
序号
|
元素/氧化物
|
检出限
|
检出限规范
|
鉴定
|
序号
|
元素/氧化物
|
检出限
|
检出限规范
|
鉴定
|
|
1
|
Na2O
|
0.0468
|
0.05
|
及格
|
17
|
Ni
|
1.16
|
1.5
|
及格
|
|
2
|
MgO
|
0.0444
|
0.05
|
及格
|
18
|
Cu
|
1.08
|
1.2
|
及格
|
|
3
|
Al2O3
|
0.0632
|
0.07
|
及格
|
19
|
Zn
|
1.92
|
2
|
及格
|
|
4
|
SiO2
|
0.158
|
0.27
|
及格
|
20
|
Ga
|
1.52
|
2
|
及格
|
|
5
|
P
|
8.05
|
10
|
及格
|
21
|
As
|
1.78
|
2
|
及格
|
|
6
|
S
|
26.37
|
30
|
及格
|
22
|
Br
|
0.89
|
1
|
及格
|
|
7
|
Cl
|
18.52
|
20
|
及格
|
23
|
Rb
|
1.83
|
2
|
及格
|
|
8
|
K2O
|
0.0412
|
0.05
|
及格
|
24
|
Sr
|
1.90
|
2
|
及格
|
|
9
|
CaO
|
0.0816
|
0.09
|
及格
|
25
|
Y
|
0.81
|
1
|
及格
|
|
10
|
Sc
|
2.28
|
2.4
|
及格
|
26
|
Zr
|
1.89
|
2
|
及格
|
|
11
|
Ti
|
48.15
|
50
|
及格
|
27
|
Ba
|
8.63
|
11.7
|
及格
|
|
12
|
V
|
3.36
|
4
|
及格
|
28
|
La
|
9.82
|
10.6
|
及格
|
|
13
|
Cr
|
2.88
|
3
|
及格
|
29
|
Ce
|
23.85
|
24.1
|
及格
|
|
14
|
Mn
|
6.46
|
10
|
及格
|
30
|
Hf
|
1.52
|
1.7
|
及格
|
|
15
|
Fe2O3
|
0.0432
|
0.05
|
及格
|
31
|
Pb
|
1.73
|
2
|
及格
|
|
16
|
Co
|
1.09
|
1.6
|
及格
|
32
|
Th
|
1.74
|
2.1
|
及格
|
注(zhu):1.元(yuan)素品(pin)质分数单(d♏an)元(yuan)为(wei)mg/kg;氧化物品(pin)质分数单(dan)元(yuan)为(wei)%;
4.2 高精度度
按照规范请求,对每批样品阐发应最少测定1个泥土或堆积物的有证规范物资,其测定值与有证规范物资的绝对误差必须知足对应前提。精确度鉴定规范见HJ780-2015规范中表1。挑选有证规范物资GBW07408(GSS-8)作精确度测试。测试成果如 REF _Ref511912462 \h 表 2。表(biao)中所计较大(da)局部精(jing)确度(du)成(cheng)果均远低于HJ780-2015中对精(ji💙ng)确🍸度(du)的目标值。
表2 精确度测试成果
|
序号
|
元素/氧化物
|
丈量值
|
规范值
|
精确度
|
鉴定规范
|
鉴定
|
|
1
|
Na2O
|
1.76
|
1.72
|
0.00998
|
0.07
|
及格
|
|
2
|
MgO
|
2.348
|
2.38
|
0.0058
|
0.07
|
及格
|
|
3
|
Al2O3
|
11.62
|
11.92
|
0.011
|
0.05
|
及格
|
|
4
|
SiO2
|
58.93
|
58.61
|
0.0023
|
0.05
|
及格
|
|
5
|
P
|
791.31
|
775
|
0.009
|
0.1
|
及格
|
|
6
|
S
|
116.986
|
120
|
0.011
|
0.1
|
及格
|
|
7
|
Cl
|
87.344
|
70
|
0.096
|
0.1
|
及格
|
|
8
|
K2O
|
2.52
|
2.42
|
0.0175
|
0.07
|
及格
|
|
9
|
CaO
|
8.248
|
8.27
|
0.00115
|
0.07
|
及格
|
|
10
|
Sc
|
11.126
|
11.7
|
0.0218
|
0.1
|
及格
|
|
11
|
Ti
|
3642.136
|
3835.8
|
0.0225
|
0.1
|
及格
|
|
12
|
La
|
31.274
|
35.5
|
0.055
|
0.1
|
及格
|
|
13
|
Ba
|
444.23
|
480
|
0.0336
|
0.1
|
及格
|
|
14
|
V
|
72.55
|
81.4
|
0.0499
|
0.1
|
及格
|
|
15
|
Ce
|
56.1
|
66
|
0.0706
|
0.12
|
及格
|
|
16
|
Mn
|
659.448
|
650
|
0.0063
|
0.1
|
及格
|
|
17
|
Cr
|
69.66
|
68
|
0.0105
|
0.1
|
及格
|
|
18
|
Fe2O3
|
4.186
|
4.48
|
0.0295
|
0.07
|
及格
|
|
19
|
Co
|
14.174
|
12.7
|
0.0477
|
0.1
|
及格
|
|
20
|
Ni
|
28.692
|
31.5
|
0.0405
|
0.1
|
及格
|
|
21
|
Hf
|
7.164
|
7
|
0.01005
|
0.1
|
及格
|
|
22
|
Cu
|
25.49
|
24.3
|
0.0207
|
0.1
|
及格
|
|
23
|
Zn
|
68.144
|
68
|
0.00092
|
0.1
|
及格
|
|
24
|
Ga
|
15.54
|
14.8
|
0.0212
|
0.1
|
及格
|
|
25
|
As
|
15.096
|
12.7
|
0.075
|
0.1
|
及格
|
|
26
|
Br
|
2.102
|
2.6
|
0.092
|
0.12
|
及格
|
|
27
|
Pb
|
18.376
|
21
|
0.058
|
0.1
|
及格
|
|
28
|
Th
|
14.842
|
11.8
|
0.0996
|
0.1
|
及格
|
|
29
|
Rb
|
94.03
|
96
|
0.009
|
0.1
|
及格
|
|
30
|
Sr
|
236.892
|
236
|
0.0016
|
0.1
|
及格
|
|
31
|
Y
|
28.196
|
26
|
0.035
|
0.1
|
及格
|
|
32
|
Zr
|
243.124
|
229
|
0.026
|
0.1
|
及格
|
注:元素品质分数单元为mg/kg;氧化物品质分数单元为%。
4.3 一致性
挑选某样品停止不变性测试。天天测试一次,持续测试两周,测试一切元素的绝对规范误差均知足规范HJ780-2015中对不变性的请求。摘取局部测试数据列于表 3。鉴定规范见HJ780-2015规范中附录E.1。
表3 局部元素不变性测试数据
|
次数\元素
|
MgO
|
Fe2O3
|
P
|
S
|
Cl
|
As
|
Br
|
Pb
|
|
1
|
1.80
|
4.21
|
783.74
|
157.86
|
46.21
|
16.77
|
2.49
|
4.34
|
|
2
|
1.79
|
4.21
|
778.44
|
161.03
|
46.94
|
17.82
|
2.76
|
4.49
|
|
3
|
1.78
|
4.19
|
786.01
|
159.13
|
45.98
|
15.58
|
2.59
|
4.73
|
|
4
|
1.79
|
4.21
|
786.01
|
161.66
|
45.16
|
17.05
|
2.49
|
4.31
|
|
5
|
1.78
|
4.21
|
781.47
|
154.05
|
46.9
|
17.37
|
2.62
|
4.61
|
|
6
|
1.78
|
4.22
|
784.50
|
157.22
|
47.81
|
16.97
|
2.78
|
4.35
|
|
7
|
1.79
|
4.21
|
788.28
|
155.32
|
44.98
|
16.31
|
2.64
|
4.53
|
|
8
|
1.78
|
4.22
|
792.07
|
159.13
|
48.16
|
18.06
|
2.78
|
4.41
|
|
9
|
1.79
|
4.20
|
790.55
|
161.66
|
45.07
|
15.64
|
2.68
|
4.28
|
|
10
|
1.78
|
4.20
|
779.20
|
160.41
|
46.63
|
17.01
|
2.82
|
4.32
|
|
均匀值
|
1.78
|
4.21
|
785.70
|
158.74
|
46.38
|
16.66
|
2.67
|
4.44
|
|
规范误差
|
0.007
|
0.009
|
4.53
|
2.63
|
1.11
|
1.02
|
0.12
|
0.15
|
|
RSD(%)
|
0.39
|
0.22
|
0.58
|
1.66
|
2.40
|
6.10
|
4.50
|
3.35
|
|
鉴定规范
|
≤0.4
|
≤0.9
|
≤1.2
|
≤4.6
|
≤2.6
|
≤9.2
|
≤8.3
|
≤4.4
|
|
鉴定
|
及格
|
及格
|
及格
|
及格
|
及格
|
及格
|
及格
|
及格
|
注:元素品质分数单元为mg/kg;氧化物品质分数单元为%。
5. 论调
打(da)算利(li)(li)用WDX4000别(bie)离对泥(ni)土(tu)堆(dui)积物(wu)中(zhong)无机元素停止了(le)检(jian)(jian)出(chu)限(xian)、精确(que)度、不变(bian)性等名目的(de)测试(shi)。测试(shi)成果标明WDX4000完整知足环保部(bu)《HJ
780-2015 泥(ni)土(tu)和(he)堆(dui)积物(wu)无机元素的(de)测定——波(bo)长色散X射(she)线(xian)荧光光谱法》规范的(de)请(qing)求,完整可利(li)(li)用于环保局部(bu)(泥(ni)土(tu)品(pin)质(zhi)状态的(de)阐发与(yu)评价)、泥(ni)土(tu)管理(li)修复(fu)企业(为⭕接纳(na)具(ju)备(bei)针对性的(de)管理(li)打(da)算供(gong)给靠得住数据)、第(di)三方检(jian)(jian)测机构等相干局部(bu)企业。